본문 바로가기
Boaz/Reinforcement Learning

[강화학습 #2] 챕터2. 마르코프 결정 과정

by 남디윤 2025. 4. 7.

 

목차

챕터 2. 마르코프 결정 과정

2.1 마르코프 결정 과정 (MDP)이란?

2.2 환경과 에이전트를 수식으로

2.3 MDP의 목표

2.4 MDP 예제

 

 

챕터 2. 마르코프 결정 과정

  • 밴디트: 에이전트 행동에 따라 문제의 설정 변화 X
    • 실제: 에이전트 행동에 따라 문제의 설정 변화 O
    • 마르코프 결정 과정 Markov Decision Process (MDP)

 

 

2.1 마르코프 결정 과정 (MDP)이란?

  • 결정 과정: 에이전트가 환경과 상호작용하면서 행동을 결정하는 과정
  • MDP 문제 예시: 그리드 월드
    • 에이전트 agent: 로봇
    • 주변 environment: 환경
    • 보상 reward: 사과를 얻을 때 +1, 폭탄을 얻을 때 -2
    • 상태 state: 에이전트의 행동에 따라 에이전트가 처하는 상황이 달라짐
    • 타임 스텝 time step:
      • 에이전트가 다음 행동을 결정하는 간격
      • 특정 시간에 에이전트가 행동, 그 결과 새로운 상태로 전이
  • 에이전트와 환경의 상호작용
    • 에이전트가 행동 → 상태 변화 → 보상 변화
    • 상태 $S_t$에서 행동 $A_t$를 수행, 보상 $R_t$를 받고 다음 상태인 $S_{t+1}$로 전환



 

2.2 환경과 에이전트를 수식으로

  • 상태 전이
    • 왼쪽 그림: 에이전트가 ‘반드시’ 왼쪽으로 이동하는 모습 = “결정적 deterministic”
      • $s'=f(s,a_)$
      • 상태 전이 함수: 상태 s와 행동 a 입력하면 다음 상태를 출력하는 함수
    • 오른쪽 그림: 이동을 확률적 stochastic
      • $p(s'|s,a)$
      • 상태 전이 확률: “현재” 상태 s에서 행동 a를 선택할 확률
        • 마르코프 성질 markov property: 현재 정보만 고려하는 성질



 

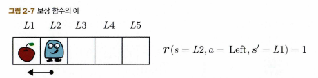
  • 보상 함수
    • 보상 $r(s,a,s')$ : 에이전트가 상태 s에서 행동 a를 수행하여 다음 상태 s’가 되었을 때 얻는 보상
      • 가정: 보상은 ‘결정적’으로 주어진다고 가정 (문제 단순화)
    • 그림 예시) $r(s = L2, a = Left, s' = LI) = 1$
      • 에이전트가 상태 L2에서(s=L2), 행동 Left 선택, 상태 L1로 전이



 

 

  • 에이전트의 정책
    • 정책: 에이전트가 행동을 결정하는 방식
      • 에이전트는 “현재 상태”만으로 행동 결정
      • 환경의 상태 전이가 마르코프 성질에 따라 이루어지기 때문에
    • ‘결정적’ 정책 또는 ‘확률적’ 정책
      • 왼쪽 그림
        • 결정적 정책(반드시 왼쪽으로 이동): $\alpha = \mu(s)$
      • 오른쪽 그림
        • 확률적 정책: $\pi(\alpha | s)$
        • 상태 s에서 행동 a를 취할 확률
        • $\pi(\alpha = Left | s = L3) = 0.4$
        • $\pi(\alpha = Right | s = L3) = 0.6$

 

 

2.3 MDP의 목표

  • 정리
    • 에이전트: 정책 $\pi(\alpha | s)$에 따라 행동
    • 상태: $p(s'|s,a)$에 의해 다음 상태 결정
    • 보상: $r(s,a,s')$가 결정
  • MDP 목표: 이 틀 안에서 최적 정책을 찾는 것
  • 최적 정책 optimal policy: 수익이 최대가 되는 정책
  • 일회성 과제와 지속적 과제
    • MDP는 문제에 따라 일회성 과제와 지속적 과제로 나뉨
    • 일회성 과제 episodic task
      • ‘끝’이 있는 문제
      • 예) 바둑 → 승리/패배/무승부 중 하나로 끝
      • 에피소드 episode: 시작부터 끝까지의 일련의 시도
    • 지속적 과제 continuous task
      • ‘끝’이 없는 문제
      • 예) 재고 관리 → 끝이 정해져 있지 않고 영원히 지속될 수 있음
  • 수익 return
    • 에이전트의 목표=수익을 극대화하는 것
    • 수익 $G_t = R_t + \gamma R_{t+1}+\gamma^2R_{t+2}+ ...$
      • 행동 $A_t$, 보상 $R_t$, 상태 $S_t$
      • 수익: 에이전트가 얻는 보상의 합
      • 시간이 지날수록 보상은 $\gamma$에 의해 기하급수적으로 줄어듦음
      • $\gamma$ 를 할인율, 0.0~1.0 사이의 실수로 설정
      • 할인율 도입 이유: 지속적 과제에서 수익이 무한대가 되지 않도록 방지, 가까운 미래의 보상을 더 중요하게 설정
  • 상태 가치 함수
    • 수익은 “확률적”으로 달라짐
      • 에이전트와 환경이 “확률적”으로 동작하기 때문에
      • → “수익의 기댓값”을 지표로 삼아야 함
      • = 상태 가치 함수 state-value function $v_\pi(s)$
      • $v_\pi(s)=E[G_t|S_t=s,\pi]$, $v_\pi(s)=E_\pi[G_t|S_t=s]$
  • 최적 정책과 최적 가치 함수
    • 최적 정책이란: 모든 상태에서 상태 가치 함수의 값이 다른 어떤 정책보다 큰 정책이 최적 정책
    • 그림 2-10과 같이 상태에 따라 우열이 달라지는 경우 → 우열 가리기 불가, 최적 정책 X
    • 그림 2-12와 같이 상태가 달라져도 모든 상태에서 더 좋거나 최소한 같은 경우 → 최적 정책 O
    • 최적 정책 = ‘결정적 정책’
      • $\alpha = \mu_*(s)$
      • 상태 S를 입력하면 행동a를 출력하는 함수 $\mu_*$
    • 최적 정책의 상태 가치 함수 = 최적 상태 가치 함수 optimal state-value function = $v_*$



 

 

 

2.4 MDP 예제



  • 예제: 두 칸짜리 그리드 월드
    • 그림 2-14) 에이전트의 정책: 결정적
    • 그림 2-15) 에이전트가 50%의 확률로 오른쪽, 나머진 왼쪽으로 이동
    • 본 챕터: 그림 2-14 (다음 챕터에서 그림 2-15와 같이 에이전트가 확률적으로 행동하는 경우 다룸)



 

 

  • 최적 정책
    • 최적 정책 = 결정적 정책
      • 예제 → 상태 2개, 행동 2개 → 결정적 정책 4개
    • 상태 가치 함수
      • 할인율 0.9로 가정, 무한등비급수 합 공식 이용
      • s=L1, $\mu_1$의 상태 가치 함수: -8
      • s=L2, $\mu_1$의 상태 가치 함수: -10

# s=L1, 정책 u1의 상태 가치 함수
V = 1
for i in range(1, 100):
    V += -1 * (0.9 ** i)
print(V)

 

  • 각 정책의 상태 가치 함수 그래프
    • 정책 $\mu_2$ 가 모든 상태에서 다른 정책들보다 상태 가치 함수의 값이 더 큼
    • 정책 $\mu_2$ = 최적 정책

'Boaz > Reinforcement Learning' 카테고리의 다른 글

[강화학습 #1] 챕터1. 밴디트 문제  (0) 2025.04.07